Publicado en el blog de Martín Monteiro .
Léelo completo en su sitio: http://fisicamartin.blogspot.com/2019/08/la-superficie-libre-de-un-liquido-que.html
«La superficie libre de un líquido que gira con velocidad que cambia con el tiempo»
[Versión en español] [Read in english]
Martín MONTEIRO (1), Fernando TORNARÍA (2), Arturo C. MARTÍ (3)
- Universidad ORT Uruguay
- Consejo de Educación Secundaria – ANEP, Montevideo, Uruguay
- Instituto de Física, Facultad de Ciencias, Universidad de la República, Uruguay
RESUMEN
La forma de la superficie de un líquido en un sistema que rota depende de la velocidad angular. En este experimento, un fluido en un recipiente rectangular de ancho angosto se coloca sobre una mesa giratoria. Un teléfono inteligente fijado al sistema registra simultáneamente la superficie del fluido con la cámara y también, gracias al giroscopio incorporado, la velocidad angular. Cuando la mesa comienza a girar, la superficie evoluciona y desarrolla una forma parabólica. Mediante el análisis de video obtenemos las características de la superficie: la concavidad de la parábola y ls altura del vértice. Los resultados experimentales se comparan con las predicciones teóricas. Este problema contribuye a mejorar la comprensión de conceptos relevantes en la dinámica de fluidos.
I. INTRODUCCIÓN
Cuando revolvemos suavemente una taza de café o té, la superficie libre desarrolla una forma parabólica. De hecho, esto es una expresión de un fenómeno omnipresente llamado vórtice. En general, en la mecánica de fluidos, el movimiento del vórtice se caracteriza por elementos de fluido que se mueven a lo largo de líneas de corriente circulares (Ref. 1). Hay dos tipos básicos de flujos de vórtice: el vórtice irrotacional, que ocurre típicamente alrededor de un sumidero, y el vórtice rotacional o rotación de cuerpo sólido, que ocurre en el ejemplo mencionado anteriormente. En particular, la superficie libre de un líquido giratorio desarrolla el conocido perfil parabólico cuyas características dependen de la velocidad angular. Este último es un problema habitual en los cursos introductorios cuando se trata de mecánica de fluidos. Aunque no es difícil desde el punto de vista teórico, no es fácil abordarlo experimentalmente. Aquí proponemos un experimento para analizar la forma parabólica de una superficie líquida en una mesa giratoria en función de la velocidad angular dependiente del tiempo.
Los fluidos rotando se han estudiado en varios experimentos. Por mencionar algunos, el perfil de la superficie de un líquido en movimiento circular uniforme se determinó utilizando un rayo láser vertical reflejado en la superficie curva, de donde se determinó la aceleración gravitatoria (Ref. 2). Más recientemente (Ref. 3), esa configuración experimental se mejoró utilizando el hecho de que una superficie líquida giratoria formará un reflector parabólico que enfocará la luz en un punto focal único. Otro experimento interesante es el balde de Newton, que proporciona una demostración simple que simula el principio de Mach y permite observar la forma cóncava del líquido (Ref. 4). En otros experimentos, los fluidos en rotación fueron estudiados en el marco del principio de equivalencia y los sistemas no inerciales (Refs. 5 y 6).
En el presente experimento se coloca un recipiente estrecho sobre una mesa giratoria cuya velocidad angular se puede controlar manualmente. Como se muestra en la siguiente sección, la superficie del líquido desarrolla una forma parabólica cuya concavidad y la ubicación del vértice están relacionadas con la velocidad angular de la mesa y la aceleración gravitatoria. La configuración experimental, descrita en la Sección III, además del contenedor en la mesa giratoria, incluye un teléfono inteligente, también fijado a la mesa giratoria, que nos permite registrar la forma de la superficie del líquido con la cámara y la velocidad angular con el giroscopio. Esta capacidad de medir simultáneamente con más de un sensor es una gran ventaja de los teléfonos inteligentes, ya que nos permite realizar una gran variedad de experimentos, incluso al aire libre, evitando la dependencia de instrumentos frágiles o no disponibles (ver, por ejemplo, Refs.7 a 11). Gracias al análisis del video digital, es posible obtener fácilmente la característica de la forma parabólica. Los resultados se presentan en la Sección IV y, finalmente, la conclusión se da en la Sección V.
Fig. 1. Un líquido en un recipiente prismático con una superficie libre, \( z'(r) \), montado en una mesa giratoria con velocidad angular \( \omega \). Muestra una forma parabólica. La figura también indica la definición de los ejes de coordenadas en el sistema relativo.
II FORMA DE UNA SUPERFICIE LÍQUIDA EN UN SISTEMA EN ROTACIÓN
La superficie libre de un líquido en un sistema giratorio se obtiene de los puntos donde la presión es igual a la presión atmosférica. Consideremos el campo de presión en un fluido, \( p ( \vec r) \), sujeto a una aceleración constante \(\|vec a \) y un campo gravitacional \( \vec g \). Después de los transitorios, un fluido gira como un cuerpo rígido, es decir, los elementos del fluido siguen líneas de corriente circulares sin deformarse y las tensiones viscosas son nulas (Ref. 1). Bajo estas hipótesis, el gradiente de presión, el campo gravitacional y la aceleración de las partículas están relacionados por la expresión simple
\( \nabla p = \rho (\vec{g} -\vec{a}) \) (Ec. 1)
En el presente experimento, consideramos un fluido en un recipiente prismático estrecho, como se muestra en la figura 1, cuya base es \( L \times d \) donde \( L >> d \) y su altura es lo suficientemente grande como para que el fluido no se desborde. Cuando el sistema está en reposo, el fluido con densidad \( \rho \) y viscosidad insignificante, alcanza una altura \( H \). El recipiente se coloca en una mesa giratoria cuya velocidad angular, \( \omega \), en torno al eje vertical que pasa a través del centro geométrico puede controlarse externamente. En este experimento la velocidad angular se varía lentamente para que los efectos transitorios sean depreciables. La figura 1 también se muestran las coordenadas polares cilíndricas con vectores unitarios \( (\hat r; \hat \theta; \hat z ) \), donde \( \hat r \) coincide con la base del contenedor y \( \hat z \) es un eje vertical a través del centro del contenedor.
Bajo estos supuestos, el campo de velocidad es el de un cuerpo rígido y puede expresarse como \( \vec u = \omega r \hat \theta \), mientras que la aceleración es \( \vec a = – \omega^2 r \hat r \). Para obtener el campo de presión, después de sustituir estas expresiones en la ecuación 1 obtenemos
\( – \omega^2 r \hat{r} = – \frac{\nabla p}{\rho} – g \hat{z} \) (Ec. 2)
donde en el caso de un campo con simetría cilíndrica, el gradiente se puede escribir como
\( \nabla p=\frac {\partial p}{ \partial r} \hat{r} + \frac {\partial p}{ \partial z} \hat{z} \) (Ec. 3)
El campo de presión se puede integrar fácilmente para obtener
\( p(r,z) = – \rho g z + \frac{\rho \omega^2 r^2}{2} + C \) (Ec. 4)
donde \( C \) es una constante de integración con dimensiones de presión. La ecuación de la superficie libre, \( z’ (r) \), se obtiene utilizando la restricción de que la presión corresponde a la presión atmosférica \( p_{atm} \) y resulta
\( z'(r) =\frac{r^2 \omega^2}{2 g} – \frac{p_{atm}}{\rho g} + \frac{C}{\rho g} \) (Ec. 5)
La constante \( C \) se puede obtener utilizando la conservación de la masa y el hecho de que el fluido es incompresible,
\( HL = 2 \int_0^{L/2}{z'(r)dr} = 2 \int_0^{L/2}{\left( \frac{r^2 \omega^2}{2 g} – \frac{p_{atm}}{\rho g} + \frac{C}{\rho g}\right)}dr \) (Ec. 6)
Realizando la integral obtenemos la expresión para \( C \)
\( C= p_{atm} + \rho g H – \frac{\rho \omega^2L^2}{12} \) (Ec. 7)
Finalmente, el campo de presión dentro del fluido puede expresarse como
\( p(r,z) = p_{atm} + \rho g(H- z) + \frac{\rho \omega^2} {2} \left(r^2 – \frac{L^2}{24} \right) \) (Ec. 8)
donde se pueden apreciar contribuciones estáticas y dinámicas. Finalmente la superficie libre puede expresarse como
\( z'(r) =H – \frac{\omega^2}{2 g} \left( \frac{L^2}{12}-r^2\right) \) (Ec. 9)
Notamos que la concavidad y la altura del vértice de la parábola dependen de la velocidad angular. El vértice de la parábola, ubicado en \( r = 0 \), se encuentra a una altura
\( z_v =H – \frac{\omega^2 L^2}{24 g} \) (Ec. 10)
Cuando la velocidad angular es \( \omega \ge \sqrt{24 g H}/L \), el vértice de la parábola llega al fondo del contenedor y estas expresiones ya no son válidas. También es interesante que haya dos puntos nodales dados por \( z'(r_0)=H \), con \( r_0 = \pm L / \sqrt{12} \), que siempre pertenecen a la superficie libre.
Fig. 2. Montaje experimental compuesto por un contenedor estrecho sobre en una mesa giratoria. El teléfono inteligente, también fijado al sistema giratorio, proporciona tanto el video de la superficie que evoluciona en el tiempo como la velocidad angular obtenida con el giroscopio.
III. MONTAJE EXPERIMENTAL Y TRATAMIENTO DE DATOS
El monteje experimental que se muestra en la figura 2 consiste en un contenedor prismático y un teléfono inteligente, modelo Samsumg Galaxy S5 (con cámara digital y giroscopio incorporado), ambos fijados a una mesa giratoria. Las dimensiones del recipiente que contenía agua teñida eran 25 cm de ancho, 15 cm de altura y 2 cm de espesor. La mesa giratoria funcionaba con un motor de corriente continua, por lo que la velocidad de rotación podía ajustarse variando el voltaje aplicado al motor.
Inicialmente, con la mesa giratoria en reposo, encendemos la cámara de video y comenzamos a registrar las medidas con el giroscopio y los sensores de proximidad mediante la aplicación Androsensor. Para sincronizar el video y los datos proporcionados por la aplicación, cubrimos unos segundos simultáneamente la lente de la cámara y el sensor de proximidad. De esta manera obtenemos una referencia de tiempo común para el video y los datos del sensor.
Luego, encendemos la fuente de alimentación y la mesa giratoria comienza a girar. A lo largo del experimento, la fuente de alimentación se aumenta lentamente con pequeños saltos, al igual que la velocidad angular. La figura 3 muestra la evolución temporal de la velocidad angular. La flecha azul indica el tiempo utilizado para sincronizar el video y los datos del sensor. Al final del experimento, ambos archivos, video y datos del sensor se transfieren a una computadora. El video que está más abajo muestra una sinopsis del experimento.
Para analizar las características de la superficie en evolución temporal, en primer lugar, extraemos los cuadros individuales del video digital. A continuación, seleccionamos 15 cuadros, que corresponden a diferentes valores de las velocidades angulares que se muestran en la figura 3. Cada cuadro se analizó con el software de análisis de video Tracker (Ref. 12). Se etiquetaron manualmente varios puntos, típicamente 8, y luego realizamos un ajuste parabólico, \( y = A x^2 + B x + C \). El coeficiente \( A \) corresponde a la concavidad de la parábola. A partir de los coeficientes \( B \) y \( C \), se puede obtener fácilmente la altura del vértice, \( H = −B^2 / (4A) \).
Fig. 3. Evolución temporal de la velocidad angular. Los saltos apreciables son producidos por el operador que regula la fuente de alimentación del motor. La flecha azul indica el instante en que la mano descubre la cámara y el sensor de proximidad para registrar una marca para sincronizar el video y el sensor de velocidad angular.
Fig. 4. Captura de pantalla del Tracker que muestra un cuadro del video digital con la superficie libre y los puntos seleccionados (izquierda). El panel derecho muestra la forma parabólica y las coordenadas de los puntos seleccionados.
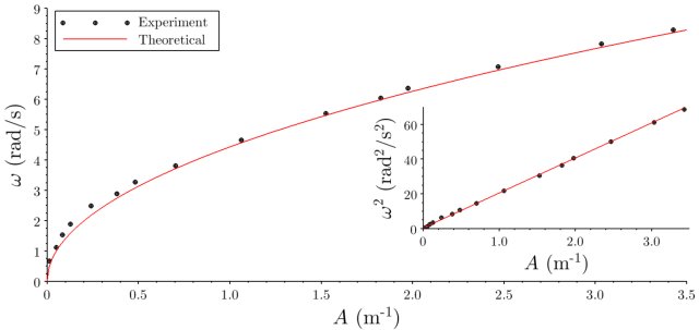
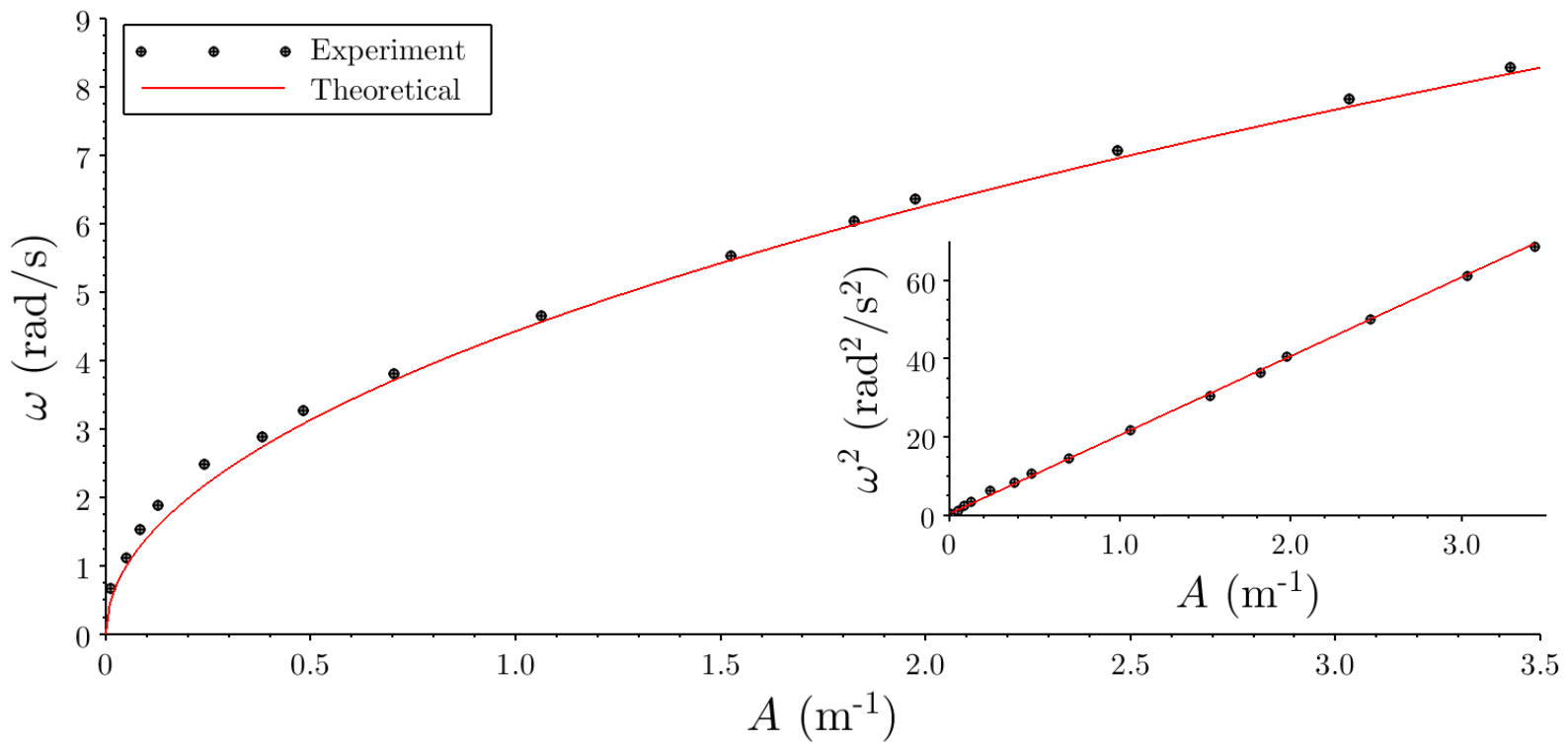
Fig. 5. Relación entre la velocidad angular y la concavidad de la superficie del fluido ajustada a una parábola. Los puntos corresponden a las medidas experimentales y la línea continua la predicción del modelo.
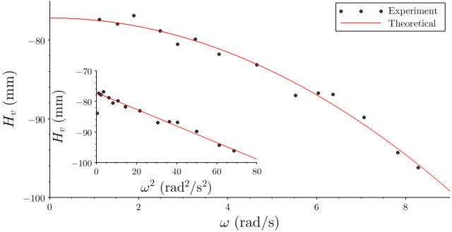
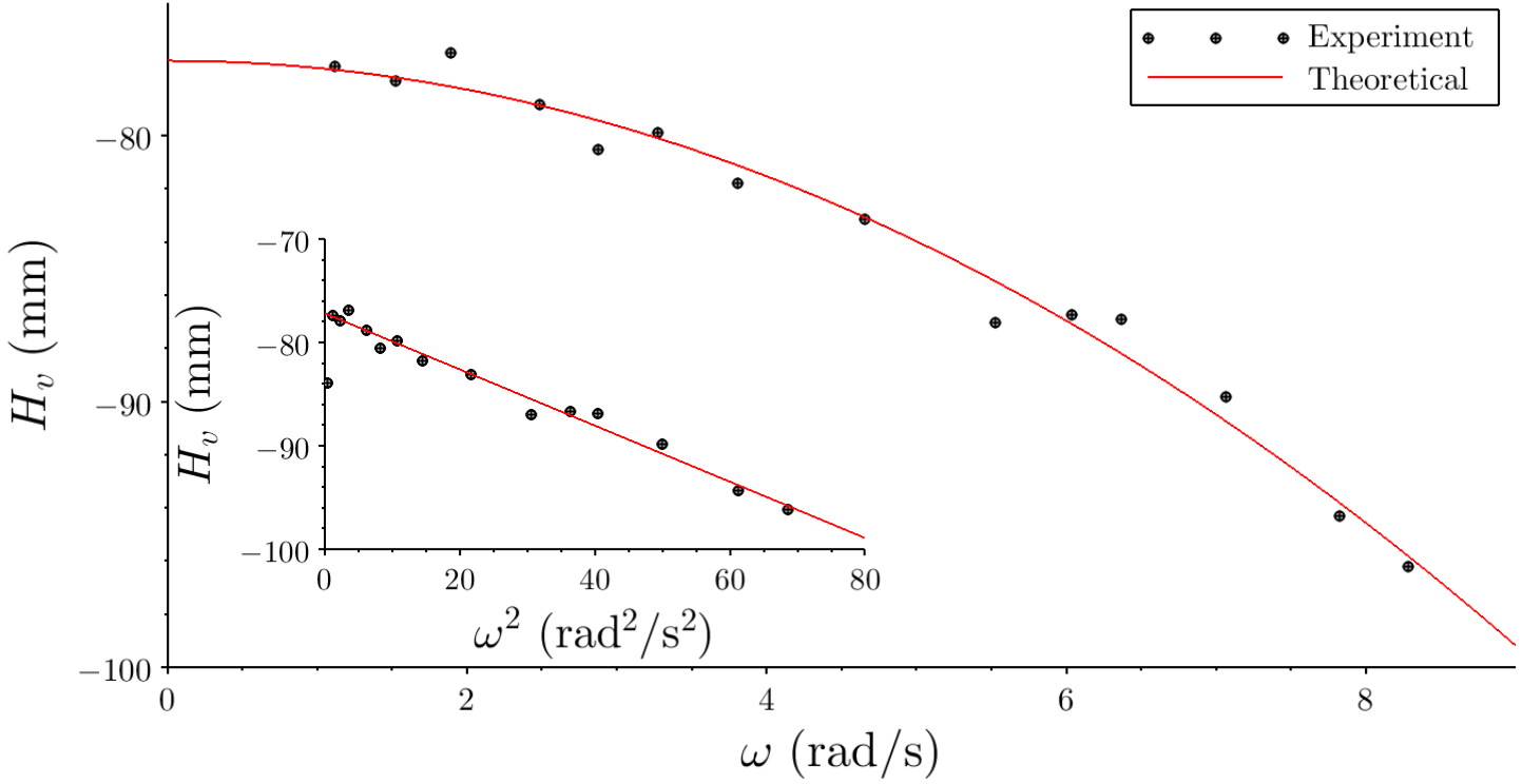
Fig. 6. Altura del vértice de la parábola en función de la velocidad angular al cuadrado. La línea roja corresponde al ajuste lineal. El punto más a la izquierda, que corresponde a una velocidad angular muy pequeña (y por lo tanto, presenta una gran incertidumbre) no se tuvo en cuenta para el ajuste lineal que se muestra en el recuadro.
IV. RESULTADOS
Después de que se procesaron los datos, comparamos los resultados para la concavidad y la altura de la parábola con la predicción del modelo. La figura 5 muestra la relación experimental entre la concavidad de la parábola y la velocidad angular y la predicción del modelo. La pendiente del ajuste lineal, \( 20.16(4) m · rad^2 / s^2 \), de acuerdo con la ecuación 9, está en buen acuerdo con \( 2 g \).
La altura del vértice de la parábola en función de la velocidad angular al cuadrado se representa en la figura 6. La pendiente del ajuste lineal resulta \( −0.27(1) mm s^2 / rad^2 \), que es muy similar al valor dado por el modelo, según la ecuación 10, \( − L^2 / 24 g = −0.2655(5) mm s^2 / rad^2 \). Además, el término independiente de la recta de ajuste corresponde al nivel del agua con la mesa giratoria en reposo. En el experimento, el valor obtenido es \( −7.72(3) cm \), mientras que el valor obtenido midiendo directamente en la imagen es \(−7.6 (2) cm \).
V. CONCLUSIONES Y PERSPECTIVAS
La presente propuesta tiene como objetivo experimentar con la superficie libre de un líquido que gira con una velocidad angular dependiente del tiempo. Gracias a un teléfono inteligente, tanto la forma de la superficie como la velocidad angular se miden simultáneamente. Usando un software de análisis de video, obtenemos los coeficientes del perfil parabólico que están relacionados con la velocidad angular, la aceleración gravitatoria y el nivel del agua con la mesa giratoria en reposo. El presente experimento muestra muy buen acuerdo con el modelo teórico. Esta propuesta simple y económica ofrece una oportunidad para que los estudiantes participen en aspectos desafiantes de la dinámica de fluidos sin equipos sofisticados o costosos.
AGRADECIMIENTOS
Agradecidos especialmente a Cecilia Cabeza por las productivas discusiones. Este trabajo fue parcialmente apoyado por el programa Física No Lineal, CSIC Grupos I + D (Udelar, Uruguay).
REFERENCIAS
1. Frank M White. Fluid mechanics, 2003.
2. Erlend H Graf. «Apparatus for the study of uniform circular motion in a liquid». The Physics Teacher, 35(7):427-430, 1997.
3. Andréas Sundström and Tom Adawi. «Measuring g using a rotating liquid mirror: enhancing
laboratory learning». Physics Education, 51(5):053004, 2016.
4. Alexsandro Pereira de Pereira and Lara Elena Sobreira Gomes. «Rotating the haven of fixed
stars: a simulation of mach’s principle». Physics Education, 51(5):055016, 2016.
5. Carl-Olof Fägerlind and Ann-Marie Pendrill. «Liquid in accelerated motion». Physics Education, 50(6):648, 2015.
6. Fernando Tornaría, Martín Monteiro, and Arturo C Marti. «Understanding coffee spills using a
smartphone». The Physics Teacher, 52(8):502{503, 2014.
7. Martín Monteiro, Cecilia Cabeza, Arturo C Marti, Patrik Vogt, and Jochen Kuhn. «Angular
velocity and centripetal acceleration relationship». The Physics Teacher, 52(5):312-313, 2014.
8. Martín Monteiro, Cecilia Cabeza, and Arturo C Marti. «Exploring phase space using smartphone
acceleration and rotation sensors simultaneously». European Journal of Physics, 35(4):045013,
2014.
9. Martín Monteiro, Patrik Vogt, Cecilia Stari, Cecilia Cabeza, and Arturo C. Marti. «Exploring
the atmosphere using smartphones». The Physics Teacher, 54(5):308-309, 2016.
10. Martín Monteiro, Cecilia Stari, Cecilia Cabeza, and Arturo C Marti. «The polarization of light
and malus’ law using smartphones». The Physics Teacher, 55(5):264-266, 2017.
11. Martín Monteiro, Cecilia Stari, Cecilia Cabeza, and Arturo C Marti. «Magnetic field ‘flyby’ measurement using a smartphone’s magnetometer and accelerometer simultaneously». The Physics
Teacher, 55(9):580-581, 2017.
12. D Brown. «Tracker: Free video analysis and modeling tool for physics education», June 2014.
Si te ha gustado esta nota puedes agradecerme de diferentes formas, por ejemplo dejando un comentario al final de esta página, o compartiendo esta nota en tus redes o si eres más generoso con una modesta donación equivalente a una simple y cálida taza de café (en el botón de abajo). ¡Muchas gracias por leerme!
DONACIÓN:
Gracias por el apoyo
https://redlcc.org/wp-content/uploads/2019/08/83811-g3250-t.jpg?w=300







